网站首页
kaiyun开云app
开云体育直播app
kaiyun官方网站体育
行业资讯
在线留言
联系我们
当前位置 :
主页
>>
开云体育直播app
>>
永磁直流电动机
kaiyun登入体育
kaiyun.体育
kaiyun官方体育登录入口
Kaiyun电子体育
Kaiyun电子体育
kaiyun官方体育登录入口官方正版
直流电机稳压电源系列
精密行星减速器系列
YS系列三相异步电机
kaiyun登录体育
永磁直流电动机
产品分类:
永磁直流电动机
生产厂家:
ky体育官网下载
价格:
来电咨询
添加时间:
19/12/24
点击次数:
二 维 码:
手机浏览
更方便
产品详情
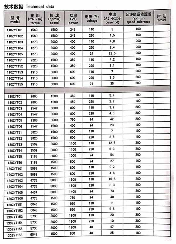
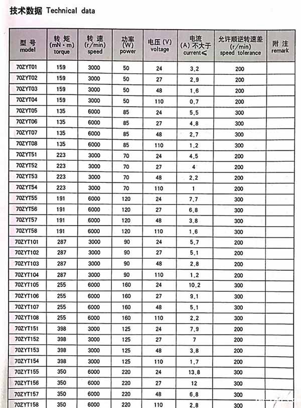
ZYT系列永磁直流电机采用铁氧磁铁激磁,系封闭自冷式。作为小功率直流电动机,可在各种装置中用作驱动元件。
在舞台灯光方面,永磁直流电机,特别是小型永磁直流齿轮电机的用量非常大。计算机行业中的打印机、扫描仪、硬盘驱动器、光盘驱动器、刻录机、冷却风扇等都要用到大量的永磁直流电机。
汽车行业中的各种风扇、刮水器、喷水泵、熄火器、反视镜、打气泵更是用到各种永磁直流电机。宾馆中的自动门、自动门锁、自动窗帘、自动给水系统、柔巾机等都用到永磁直流电机、在武器装备中,永磁直流电机广泛应用于导弹、火炮、人造卫星、宇宙飞船、舰艇、飞机、坦克、火箭、雷达、战车等场合。
tags:永磁直流电动机厂家,永磁直流电动机价格
点击次数:
更新时间:19/12/24 16:00:12 【
打印此页
】 【
关闭
】
【返回上一页】
相关产品
该分类暂无相关产品!
热门地区产品
北京永磁直流电动机
,
上海永磁直流电动机
,
天津永磁直流电动机
,
重庆永磁直流电动机
,
山东永磁直流电动机
,
辽宁永磁直流电动机
,
Kaiyun全站官网登录入口
,
浙江永磁直流电动机
,
广东永磁直流电动机
,
江西永磁直流电动机
快捷导航
Navigation
网站首页
kaiyun开云app
开云体育直播app
kaiyun官方网站体育
行业资讯
在线留言
联系我们
联系人:姜经理
联系电话:139-6930-5439
地址:山东省淄博市博山城东街道后峪工业园
ky体育官网下载生产各种规格型号的印刷电机,刀架电机等产品,厂家直销,价格更低
网站地图
| |
map